PID算法的C程序實現方式,大神帶你入門
時間:2018-04-24 來源:未知
一、PID算法簡介
在水溫控制模型、智能車比賽、四軸飛行器穩定,平衡車速度等控制實現時,因為預設值與實際控制效果之間存在一定的偏差、實際輸出與數據反饋之間存在一定的延時,往往不能得到理想的控制效果。PID作為應用為廣泛的一種自動控制器,在實際控制中加入PID算法將能達到系統不斷靈活變化的效果。
上面的提到的幾種實例都可以稱為惰性系統(過程控制對象具有“一介滯后+純滯后”與“二介滯后+純滯后 ”特點,說白了就是響應延遲+反饋延時),PID控制器是一種最優控制器。
顧名思義,P指是比例(Proportion),I指是積分(Integral),D指微分(Differential)。在電機調速系統中,輸入信號為正,要求電機正轉時,反饋信號也為正(PID算法時,誤差=輸入-反饋),同時電機轉速越高,反饋信號越大。要想搞懂PID算法的原理,首先必須先明白P,I,D各自的含義及控制規律:
1.1比例P
Proportion(比例),就是輸入偏差乘以一個常數。
比例調節器方程為:
y=Kp*e(t)
調節器的輸出與輸入偏差成正比。比例項部分其實就是對預設值和反饋值差值的放大倍數。
圖示

圖1 比例放大示意圖
控制對象為電機時,比例Kp越大時,電機轉速回歸到輸入值的速度將更快,及調節靈敏度就越高。從而,加Kp值,可以減少從非穩態到穩態的時間。但是同時也可能造成電機轉速在預設值附近振蕩的情形,即用力過猛,調整跨度太大,如果是舵機轉向系統,會出現智能車搖擺S型前進,這就是Kp過大造成的,所以又引入積分I解決此問題。
1.2 積分I
Integral(積分),積分作用是指調節器的輸出與輸入偏差的積分成比例的作用。
積分方程為:

Ti是積分時間常數,它表示積分速度的大小,Ti越大,積分速度越慢,積分作用越弱。
圖示

圖2 積分調節示意圖
積分環節的調節作用雖然會消除靜態誤差,但也會降低系統的響應速度,也就是積分項的調節存在明顯的滯后,因為Ti代表的是時間常數,Ti值越大,時間越長,滯后效果越明顯,增加系統的超調量。積分常數T I 越大,積分的積累作用越弱。增大積分常數T I 會減慢靜態誤差的消除過程,但可以減少超調量,提高系統的穩定性。所以,必須根據實際控制的具體要求來確定TI 。比如:當差值不是很大時,可以減小控制效果,維持原系統的輸出值。但是還是要將偏差進行加法積累。當這個和累加超過預定值時,再一次性進行處理。從而避免了頻繁控制而出現振蕩現象。
1.3 微分D
Derivative(微分),微分項部分其實就是求電機轉速的變化率。也就是前后兩次差值的差。
微分調節器的微分方程為

圖示

圖3 微分控制器曲線
微分反應了偏差信號的變化規律,或者說是變化趨勢,偏差的微分實際偏差的變化速率,變化越快,其微分絕對值越大。偏差增大時,其微分為正;偏差減小時,其微分為負?刂破鬏敵隽康奈⒎植糠峙c誤差的微分成正比,反映了被控量變化的趨勢。根據偏差信號的變化趨勢來進行超前調節,從而增加了系統的快速性。Td值越大,超前控制作用就會越明顯,可以在做到提前控制。比例僅僅是偏差的放大增幅,表示當前調節參數,微分是預測偏差的變化,相當于提前加入了控制數據。在比例微分調節器中,能夠提前控制偏差,也有可能出現負值,避免了惰性系統的超調現象。
一、PID算法內容
2.1 PID算法選擇
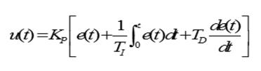
PID算法中有比例積分調節(PI),比例微分調節器(PD),可根據系統要求進行選擇,通常為了改善調節品質,往往把比例、積分、微分三種作用組合起來,形成PID調節器。理想的PID微分方程為:

其中u(t) 調節器的輸出信號;
e(t) 調節器的偏差信號,它等于給定值與測量值之差
Kp 為比例增益;
T i 積分時間
T d 微分時間
KP /T I 積分系數
KP / T D 微分系數
2.2 PID算法要求
PID需要在一個閉環系統里面(橋黑板)。閉環系統即在控制系統中,有執行處理單元,同時必須有輸入反饋單元,電機系統中,必須有編碼器、測速電機等測速設備?刂葡到y原理圖如下:

圖4 閉環PID控制系統
2.3 PID參數常用小口訣:
整定參數尋最佳,從小到大逐步查;
先調比例后積分,微分作用最后加;
曲線震蕩很頻繁,比例刻度要放大;
曲線漂浮波動大,比例刻度要拉小;
曲線偏離回復慢,積分時間往小降;
曲線波動周期長,積分時間要加長;
曲線震蕩動作繁,微分時間要加長。
一、C代碼實現
由于計算機控制是一種采樣控制,它只能根據采樣許可的偏差計算控制量,而不能象模擬控制那樣連續輸出控制量,進行連續控制。那么上面的PID公式不能直接使用,必須進行離散化處理
假設采樣時間間隔為T,則在k時刻:
偏差為e(k);
積分為e(k)+e(k-1)+e(k-2)+...+e(0);
微分為(e(k)-e(k-1))/T;
從而公式離散化后如下:

k 采樣信號,k=0,1,2,…
u k 第k 次采樣時刻的計算機輸出值
e k 第k 次采樣時刻輸入的偏差值
e k −1 第k-1 次采樣時刻輸入的偏差值。
實際上面的公式為位置式PID,運算較多,占用單片機資源,還可以推出增量式PID:
U(k) = P *e(k) + I *[e(k)+e(k-1)+...+e(0)]+ D *[e(k)-e(k-1)]。
簡化后可以在C語言中寫成:
u(k) = u(k)-u(k-1) = Kp(e(k) - e(k-1)) + Ki *e(k) + Kd(e(k)) - 2e(k-1) + e(k-2))
上面的表達式就是增量式表達形式,u(k)與最后三次計算偏差有關。
C語言理解代碼:
//創建變量結構體
struct pid_type{
float Kp; //PI調節的比例常數
float Ti; //PI調節的積分常數
float T; //采樣周期
float Ki;
float ek; //偏差e[k]
float ek1; //偏差e[k-1]
float ek2; //偏差e[k-2]
float uk; //u[k]
signed int uk1; //對u[k]四舍五入取整
signed int adjust; //調節器輸出調整量
}pid;
//變量初始
void Pid_Init(void)
{
pid.Kp=4;
pid.Ti=0.005;
pid.T=0.001;
pid.Ki=0.6; //微分系數Kd=KpTd/T。根據實際調節
pid.ek=0;
pid.ek1=0;
pid.ek2=0;
pid.uk=0;
pid.uk1=0;
pid.adjust=0;
}
int PIDadjust(float ek) //PI調節算法
{
if( gabs(ek)<0.1 )
{
pid.adjust=0;
}
else
{
pid.uk=pid.Kp*(pid.ek-pid.ek1)+pid.Ki*pid.ek; //計算控制增量
pid.ek1=pid.ek;
pid.uk1=(signed int)pid.uk;
if(pid.uk>0)
{
if(piduk-piduk1>=0.5)
{
pi.uk1=pid.uk1+1;
}
}
if(piduk<0)
{
if(pid.uk1-pid.uk>=0.5)
{
pid.uk1=pid.uk1-1;
}
}
adjust=pid.uk1;
}
return adjust;
}
一、小結
增大比例系數P一般將加快系統的響應,在有靜差的情況下有利于減小靜差,但是過大的比例系數會使系統有比較大的超調,并產生振蕩,使穩定性變壞。
增大積分時間I有利于減小超調,減小振蕩,使系統的穩定性增加,但是系統靜差消除時間變長。
增大微分時間D有利于加快系統的響應速度,使系統超調量減小,穩定性增加,但系統對擾動的抑制能力減弱。
也可以說比例系數P代表著現在,表明現在預設值與實際的偏差,積分代表著過去,是過去Ti時間內的偏差積累,可以減少震蕩,微分D代表著未來,反應了偏差變化率,可以超前預測并提出控制。
這里有關PID資料的講的非常好,推薦給大家:
1. https://blog.csdn.net/u010312937/article/details/53363831#t3《PID控制算法的C語言實現<完整版>》
2. https://blog.csdn.net/qq229596421/article/details/51419813
3. https://blog.csdn.net/msdnwolaile/article/details/51038196
祝君爽!!

