信息增益
時間:2025-01-15 來源:華清遠見
一、信息增益的定義
信息增益(Information Gain)是決策樹算法中用于特征選擇的一種重要度量標準。它衡量了在使用某個特征進行數據集劃分之后,數據集不確定性(或熵)的減少程度。
簡單來說,信息增益表示了由于特征的存在而使得數據集分類變得更加明確的信息量。
具體來說,信息增益的定義為:
信息增益=父節點的信息熵−子節點的加權平均信息熵
其中:
l 父節點的信息熵是指在使用特征進行劃分之前,數據集整體的不確定性或混亂程度,通常使用香農熵(Shannon Entropy)來衡量。
l 子節點的加權平均信息熵是指在使用特征進行劃分之后,各個子數據集(即劃分后的各個分支)的信息熵的加權平均值,權重通常根據子數據集的大小來確定。
信息增益越大,說明使用該特征進行劃分后,數據集的不確定性減少得越多,即該特征對分類的貢獻越大。因此,在構建決策樹時,通常會選擇信息增益最大的特征作為當前節點的分裂特征,以最大化地減少數據集的不確定性,從而提高分類的準確性。
二、信息增益的計算步驟
1. 計算父節點的信息熵:
使用訓練集中所有樣本的類別信息計算父節點的信息熵。信息熵是用于度量一個系統的不確定性或無序程度的概念。計算公式為:

其中,H(D)是數據集 DD 的熵,pi是數據集 D中第 i類的概率,k 是類別的總數。
2. 計算特征的條件熵:
對于每個可能的分裂特征,計算該特征條件下的信息熵。這涉及將訓練集中的樣本劃分成不同的子集,并計算每個子集的信息熵。然后,根據每個子集在數據集中的比例,計算加權平均的條件熵。計算公式為:

其中,H(D∣A)是在特征 A 的條件下的條件熵,Values(A)是特征 A 的所有取值,DvDv是 在特征 A的取值 v上的數據子集,∣Dv∣和 ∣D∣分別是數據子集 Dv和數據集 D的大 小。
3. 計算信息增益:
信息增益是父節點信息熵減去由于特征分裂而導致的子節點的加權平均信息熵。計算公式為:

其中,IG(D,A) 是在特征 A上的信息增益。
三、信息增益在構建決策樹時的重要性
(一)特征選擇:
在構建決策樹時,信息增益用于選擇最優特征來劃分數據集。
對于每個節點,計算所有候選特征的信息增益,并選擇信息增益最大的特征作為該節點的分裂特征。這可以確保每個分裂都能最大程度地減少數據集的不確定性,從而提高分類的準確性。
(二)避免過擬合:
信息增益不僅考慮了特征對數據集分類能力的提升,還通過信
息熵和條件熵的計算,隱含地考慮了數據的純度。因此,使用信息增益作為特征選擇的標準,有助于避免選擇過于復雜的特征,從而減少過擬合的風險。
(三)構建高效的決策樹:
通過信息增益進行特征選擇,可以逐層分裂數據集,使得每個
葉節點盡可能純凈。這有助于構建更加簡潔和高效的決策樹模型,提高分類和預測的速度和準確性。
總之,信息增益在決策樹算法中扮演著至關重要的角色,它通過量化特征對數據集分類能力提升的貢獻程度,指導特征選擇過程,從而構建出高效且準確的決策樹模型。
四、信息增益的計算示例
假設我們有一個關于是否出去玩的決策樹數據集,其中包含以下屬性:Outlook(天氣狀況)、Temperature(溫度)、Humidity(濕度)和Windy(是否刮風),目標變量是Play(是否出去玩)。
首先,我們計算整個數據集的信息熵(原始狀態的信息量):數據集包含14個實例,其中9個正例(yes)和5個負例(no)。

接下來,我們使用Outlook屬性來劃分數據集,并計算劃分后的信息熵。Outlook屬性有三個取值:sunny、overcast和rain。
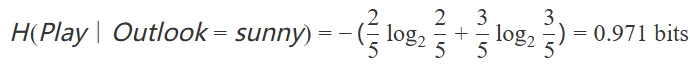
1. 對于Outlook=sunny,有5個實例,其中2個正例和3個負例:

2. 對于Outlook=overcast,有4個實例,全部是正例:

3. 對于Outlook=rain,有5個實例,其中3個正例和2個負例:

然后,我們計算劃分后的信息總量,即加權平均信息熵:

最后,我們計算信息增益:

類似地,我們可以計算其他屬性的信息增益,并選擇信息增益最大的屬性作為當前節點的分裂屬性。
請注意,上述計算中的數值可能因四舍五入而有輕微差異,但整體思路和步驟是正確的。在實際應用中,應使用精確的計算結果來構建決策樹。

